1.标题
在行首插入 1 到 6个#,分别表示标题 1 到标题 6(注意:#后面有空格,后面的语法同)1
2
3# 这是一级标题
## 这是二级标题
###### 这是六级标题
2.有序列表
在行首增加 1.、2.、3.,即数字和英文句点, 不要求数字一定要连续,可以都是1.1
2
31. 有序列表
1. 有序列表
4. 有序列表
3.无序列表
在行首增加 * 或 -
4.插入图片
可直接粘贴图片,或将图片文件拖动到光标处。
也可以使用标准的Markdown语法,如:1

5. 插入链接
1 | [描述](链接地址) ,例如:[为知笔记](http://www.wiz.cn),注意要使用英文符号 |
6. 粗体、斜体、删除线
粗体:在文字前后添加 * (注意符号与文字间不要有空格)
斜体:在文字前后添加
删除线:在文字前后添加 ~~
7. 引用
在文字前 添加 >
8. 表格
1 | | 为知笔记|更新 | 版本 | |
9. 代码
在代码前后增加 三个反单引号:1
2
3
4
5
6
7
8
9
10
11
12
# 10. 目录
在任何你想要展示Markdown 笔记目录的地方,添加 [TOC] , 在阅读模式下,标题1~6样式的内容会被提取出来作为目录,相当于大纲功能。
例如:
```markdown
[TOC]
###Markdown 是什么
####Markdown 的好处
11. Mathjax 公式
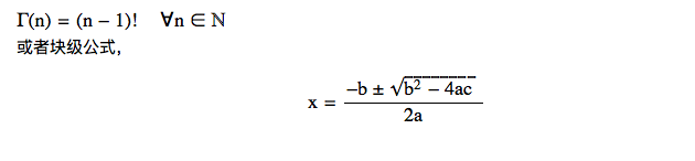
可以创建行内公式,例如:$\Gamma(n) = (n-1)!\quad\forall n\in\mathbb N$
或者块级公式,
$$ x = \dfrac{-b \pm \sqrt{b^2 - 4ac}}{2a} $$
保存后效果
12. 流程图
1 | st=>start: Start |
保存后效果:
注意:
1) 关键词(start、end、operation、subroutine、condition和inputoutput)后的冒号后要紧跟一个空格。
2) 使用->来连接两个元素,对于condition类型,有yes和no两个分支,如示例中的cond(yes)和cond(no)。
更多关于流程图的语法说明:流程图
13. 时序图
1 | Alice->Bob: Hello Bob, how are you? |
保存后效果:
更多关于时序图的语法说明:时序图